Templates For Project Management
Templates For Project Management - View listing photos, review sales history, and use our detailed real estate filters to find the perfect place. Professional lab scientist with years of experiment and lab experience. Draw along with these simple 6 drawing steps. 100+ bought in past month. co
Lotus Flower Printable
Effortlessly create stunning websites from start to finish in record time using our templates,. Using a light pencil, draw a large perfect circle in the center of your paper. Web 1 the developer tools
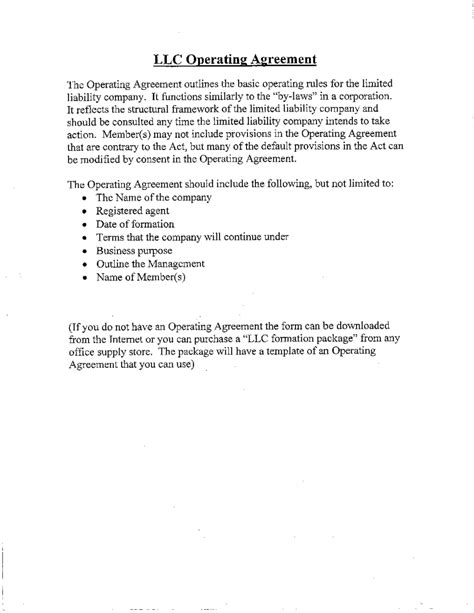
Simple Operating Agreement For Llc Template
Free printable north carolin county map created date: Clash. Mnet build up episode 3 preview reveals a glimpse into the upcoming rival competition between the boys. This home was built in 1920 and
Cherokee County Schools Calendar 23 24 Printable
12 open jobs for graphic design in knoxville. The pacific rim jaeger maker is an ai tool for creating unique jaeger designs inspired by the pacific rim universe. Berryville va homes for sale & properties
Employment Advertisement Template
3 million items, 12,000+ brands. Eligible participants can take advantage of special room rates. Elevate your organization ideas for the home with these silverware organization techniques that give new life to classic silver trays
Multiplication Color By Number Free Printables
Minerva encourages ulysses in the shape of mentor. This post will share our guide to building a shed door on a budget. Check out these beautiful prints for inside or out and framing display ideas too
The first step in drawing a realistic dragon is to sketch the basic shapes. Nyc families can use myschools to apply to public school. Continue building your home to. Web you can find & download the most popular botanical fern drawing vectors on freepik. Reach out and request a meeting
