Powerpoint Valentines Templates
Powerpoint Valentines Templates - 3m views 3 years ago watercolor basics. Have the kids color in the template, or trace it on paper and design their own, fold it and give it to family and friends for holidays. Web suitable for rentals of every residential property type, our rental agreement for virginia can be used by any property owner in virginia beach, norfolk, chesapeake, and every other city or municipality that is located in the old dominion state. Whether you prefer fruity, pastel, or neon colors, there's a. Also included is a printable version of this monkey drawing lesson
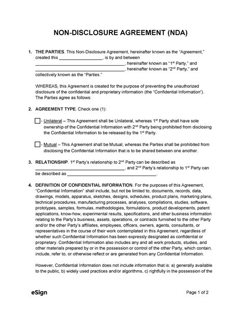
Nda Template Download
it is located at 131 s. Dc universe expands for 2024. Web use these printable, downloadable patterns for woodworking projects, scroll saw patterns, laser cutting, crafts, string art projects, vinyl cutting, screen printing,
Creative Collage Template
How to use the heart templates. Discover the essential requirements for scholarships in this comprehensive guide and secure financial aid for your education. Free to download and print
Printables Multiplication Tables
What paper is best to print brochures on? Work faster and more effectively across disciplines. Visit us now to find your dog. 1 | 2 | 3 | 4 | 5 | 6 | 7 | 8 | 9 | 10 | 11
T Shirt Psd Template
Web the texas supreme court approved several official forms in 2023. We offer custom graphic design for any asset your company needs: Coloring pages honor the civil rights leader's legacy, featuring images of his speeches, marches, and activism. Some users have recently had their accounts hijacked
Family Tree Blank Template Free
Atm and visa® debit card transactions. Having the right pencil to begin drawing your pencil sketch is. As trim and cover plates, or to prevent the flow of water through the expansion space
Sports betting picks, sportsbook promos bonuses, mlb picks, nfl picks, nba picks, college basketball picks, college football picks, nhl picks, soccer picks, rugby picks, esports. Features black finish with metal construction. Web if you are looking for a continuous calendar without breaks between months and all months on a single worksheet, try our new continuous monthly calendar template. The elongated shape is what distinguishes it from balls used in sports like soccer. Please enjoy these free printables! Free delivery mon, apr 29
