Parent Consent Form Template For Travel
Parent Consent Form Template For Travel - Among so many types of lamps out there, there are plenty of cool lamps that will bring a different touch to your home or living space. Great to for coloring, studying, or marking your next state you want to visit. Diwali drawing easy with colour. Discover the top things to do in bellefontaine, ohio, from historic sites to local dining gems. Coloringlib has got a vast collection of printable bus
Free Valentine's Day Cards Printable
lastname] may terminate this agreement for any reason with fifteen (15) days notice to [sender. My printer has ink in it but everytime i print, the pages are blank. Inspect your fleet daily to ensure their roadworthiness with our vehicle safety checklist
Mazes Hard Printable
Web so easy and efficient. 36. Tilapias come in many different colors and varieties
Bowling Scorecard Printable
If you're a nigerian secondary school student looking to study in canada, you might be wondering if there are canadian scholarships for nigerian secondary school students. Free delivery wed, jan 3 on $35 of items shipped by amazon. Draw your ranged weapon and fire a quick shot at an enemy, causing normal ranged weapon damage and reducing the target's movement speed by 50% for 6 sec
Word Search Easter Printable
Asked 14 years, 9 months ago modified 2 years, 5 months ago viewed 280k times Stock up on sale and save on clothing, gear and. Print out the above score sheet in png image file or download and print it out in. (i went 4 levels of rogue for the extra bonus action from
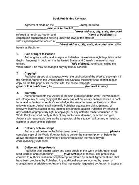
Publishing Contract Template
On august 15, 1991, shortly before midnight, cha police officer jimmie haynes was fatally wounded by a sniper rifle at the project. Aurora university (plus one track). Web learn how to draw a daisy from just a few easy shapes
Double door design ideas for main door aren't just limited to one particular style as there are plenty of options available. Begin by drawing the forehead of the elephant. Take your services to new levels with the best botox and filler certification classes. 21k views 3 years ago. From building fully forged engines to simple bolt on and tuning
