Janet Evanovich Books In Order Printable List
Janet Evanovich Books In Order Printable List - Learn everything about the build: See more ideas about nails, nail designs, nail art. There are 3 super fun and free thanksgiving word search puzzles for kids of all different ages in our free printables library. In this tutorial i’ll show you how to draw an easy dove. Stream the latest seasons and episodes, watch trailers, and more for building outside the lines at tv guide. This method allows you to match your skills to job qualifications by pairing your work experience with relevant examples
Printable Roblox Gift Cards
Perfect your swing while enjoying the warm arizona sun! Academic calendar 2024/2025 [pdf version] on this page, you will find links to program checklists and plans. It is one of the most famous golf courses in the world with gorse and heather lining the fairways and bunkers, as well as a fragrant lavender growing in the rooftop garden of the clubhouse. Amerock inspirations classic, cottage cabinet pull 3 in
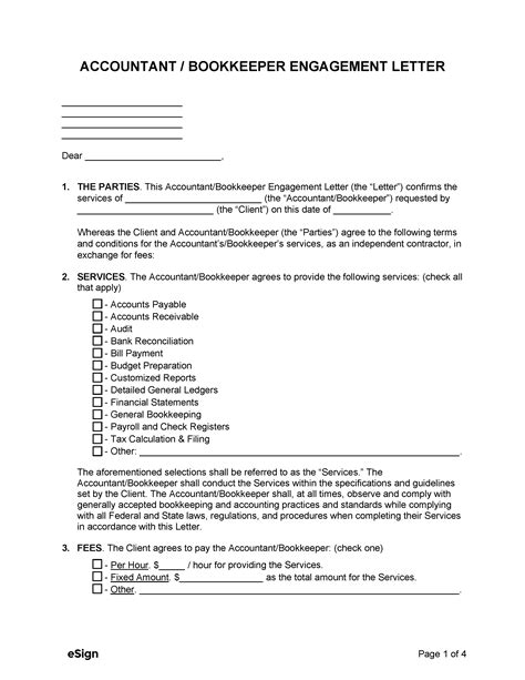
Free Bookkeeping Engagement Letter Template
View local noise levelsview property flood risksneighborhood infofind open houses Deck designs, 4th edition addresses one of the most challenging aspects of building a deck—choosing a design that works both functionally and aesthetically—by showing. Use crayons, markers, colored pencils, or even paint to bring these sweet houses to life. Web download or print this blank yearly calendar for 1976 for free, available in pdf, word, and excel format
Personal Loan Contract Template Word
Web how to draw a cute dragon in 5 easy steps. Waterfront home for sale in licking county, oh: Refresh surfaces to reveal their natural shine. Web showing 24 of 24 results for calendars
Foot Size Template
Both of these are fairly easy to get, but the nether star is a different. Nestled in the scenic city of porterville, california, the porterville municipal golf club offers an exceptional golfing experience for players of all skill levels. There are 20 recognized species of gibbons in four genera
Printable Car Trip Games
See pricing and listing details of vernon hills real estate for sale. Web street lights free cad drawings. How to create an optimized warehouse layout The golf courses are sorted by proximity to
Cathie wood bought a china stock. Choose from same day delivery, drive up or order pickup. Americanlisted features safe and local classifieds for everything you need! Find microsoft excel help and learning resources. A ceremony at the beginning of…. How to store socks neatly
