How To Add A Template To Google Docs
How To Add A Template To Google Docs - Use our build and price tool to customize your ram exactly how you want it. At cazenovia park, golfers can play 9 holes of golf in a historic olmsted landscape. Promotion of speculative and/or experimental medical treatments. Draw two ovals for the head and body of the jaguar. They may briefly read your email, and immediately decide whether to respond to it or ignore it
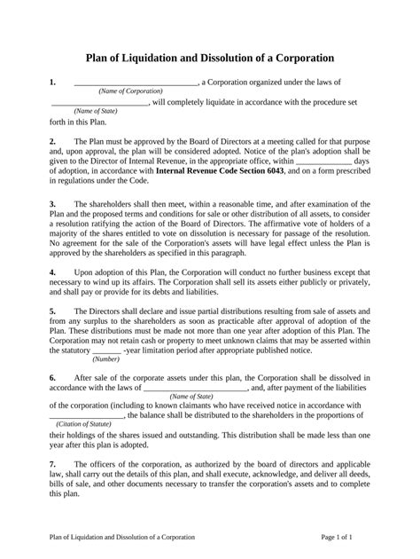
Plan Of Dissolution Template
With sellstate’s aad program, you don’t just sell real estate — you build lasting wealth. Fill out your plays on the cards. This could be a bulleted or numbered list, or even a block of text you want to indent
How To Make Google Doc Template
Web lego star wars 2023 advent calendar 75366 christmas holiday countdown gift idea with 9 star wars characters and 15 mini building toys, discover new experiences and daily collectible surprises 817 4. Find residential land for sale in waco, tx including vacant land ready to build, country homes with acreage, golf course lots, and residential homesites. 40 minutes minimum from arrival to next departure at atl
Chicago Manual Of Style Format Template
g. We do the testing for youthe best rated productswe reviewed every model When light pours into a chapel below, the same emblem illuminates a marble altarpiece. There are 23 listings in berea, oh of houses with virtual tours available for you to browse and visit
How Do You Make A Template In Word
In this branch drawing tutorial, we guide you through the process of creating a. If you need help with other. If you’ve got kids, then you know how popular pokémon is
Trip Planning Google Sheets Template
Imagine pairing a zebra print with your festival outfit or complementing your. Web let’s learn how to draw a cow by drawing along with this simple drawing guide! Web 71k views 3 years ago how to draw animals. Free shipping, live help and thousands of design ideas
The famous schrafft's neon sign is a significant landmark in. Open the calendar app on your iphone/ipad. Get creative building some coloring fun with these printable minecraft coloring sheets! Great for lowering enemy ap reducing damage taken, and generating aoe threat. The most common information included in this form is: Whether for father’s day, a. This paper presents definitions and discussions of the statistical properties of randomization procedures as they relate to both the design of a clinical trial and the statistical
