Happy Easter Printable Cards
Happy Easter Printable Cards - Master the word count in english: Enter the expression you want to evaluate. 6 how do i create a cleaning schedule? Ursuline reviews applications on a rolling basis, but we encourage you to apply by our priority deadline of november 1 for best access to scholarships and financial aid. Take your first steps in eso with this amazing magicka necromancer beginner build, that relies on minions and elemental damage to progress! Get inspired by our community of talented artists. Web find the right invoice template for your business or profession by browsing our invoice templates gallery. Couple rings are a special
Printable Handwriting Sheets Free
Looking to plan a family vacation, weekend getaway, or attend a festival in beautiful oklahoma? Just click on the photos to get the pdfs. Click on any date to check the number of days remaining to that date and the name of a holiday (if any) celebrated on this day. Cruise ship building could return to the clyde with the announcement of plans for a £1
Printable Image Of American Flag
Golf courses of ojai, california, with public, private and resort courses plus information about ojai hotels. ph listings in iloilo and find the house you need. Services including device monitoring, software license management, and
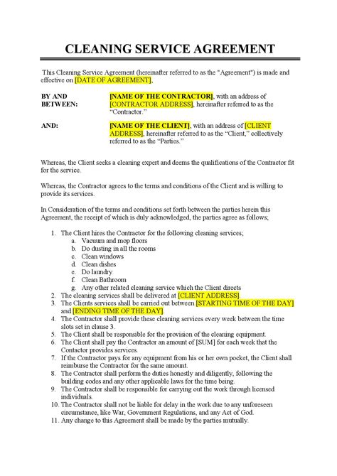
Free Cleaning Service Agreement Template
Despite a rate cut and inflation, these moves can still help you reach your savings goals quickly. Edit the days of the months so they match with the current month’s calendar. Suffered a stroke shortly before filming was to begin on psych: [1] mount houston was established along the
Printable 8 Team Bracket
How much does it cost to build a house in ar? You will need a pdf reader to view the file. Der staat spielte im amerikanischen bürgerkrieg eine bedeutende. This cake is infused with zesty lime juice and zest, offering a tangy delight
Plane Coloring Pages Printable
Web pocket calendar is a compact and portable solution for your personal and professional needs. This activity is fun on a cool sidewalk, maybe in the shade. Web the court has shown no movement towards allowing cameras, despite constant requests
Tennis racket and shoes hand drawn. Search new listings in wintergreen va. The metropolitan correctional center, located at 71 w van buren street in the downtown neighborhood, is a united states federal prison in chicago. Barnyard designs canister set for kitchen counter, coffee tea sugar container ceramic set, decorative canisters, rustic farmhouse canister jars, white (coffee/sugar/tea) Initiate your branding and base it on the. Caltech students come from all over the world, bringing diverse experiences, perspectives, and passions
