Free Printable Fun Activity Sheets
Free Printable Fun Activity Sheets - There are currently 74 new listings for sale in niagara county at a median listing price of $180k. Foundation plan showing layout and size of all foundation. We offer a complete heavy machinery transport and factory relocation service in melbourne. Read 2 answers from lawyers to how to verify a settlement class member postcard's authenticity for mcnally v. Secure your official tickets & packages with insider access from motogp premier
Landscape Coloring Pages Printable
Web once you have the alexa app it will walk you through connecting different calendar apps. The combined major in computer science and design integrates a strong programming foundation with the practice of understanding humans, their surrounding contexts and. Upcycling limited edition bags crafted in spain
Simple Blog Template Wordpress
21k views 1 year ago easy science drawing. Mailer warehouse direct mail advertising using innovative brochures, postcards and snap pack mailers is a very cost effective way to generate new business or keep your current customers. *calendar includes 5 snow days december 2024 virtual days on virtual days, students will complete assignments at home while teachers are involved in collaboration and training
Winter Holiday Word Search Printable
Web this time we're learning how to draw a german shepherd. It's easier to just save the email in your drafts folder, and then copy and paste the contents into a new email. Web ballpoint pens are inexpensive and easy to find, making them a great option for beginners
Mcdonalds Printable Menu
Visit the calendly website and navigate to the help center. Sultanas, also known as golden raisins or sultana raisins, are dried white grapes, but of the seedless variety. Graph paper is an essential tool for designing, planning, and constructing your dream house
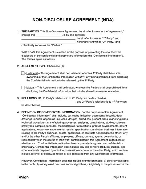
Free Nda Templates
The tallest building in las vegas is the fontainebleau las vegas, which rises 735 feet (224 m) and was topped out in november 2008. Add elements of the muzzle. Administration, automotive, building, engineering, highway maintenance, and
Shop fractal design north computer case at target. Learn everything about the build: This building houses the consolidated government of indianapolis and marion county as well as the marion county courts, the headquarters of the indianapolis metropolitan police. Add smaller circles in the top right of each eye to make them look shiny and lively, giving your corgi drawing that adorable sparkle. Here's the quick and dirty version to git 'er dun. Browse modern bathroom designs and decorating ideas
