Fbi Most Wanted Template
Fbi Most Wanted Template - See more ideas about church tattoo, traditional tattoo, old school tattoo. Come visit the vibrant pearl market. The answers are all lined up in order from 1 to 10 for each divisor, so it’s not very useful to give to a child to complete. Find a free illustration of country drawing to use in your next project. For posting guidelines, click here
Nfl Football Squares Printable
Templates. Whether you need a comparison chart maker or a radar chart maker, there is a chart type for you to drag and drop onto your design. #figuredrawing #lifedrawing #drawing #artclass #tutorial in this first session we'll look at the core ideas of an
1 X 3 4 Label Template
Voted one of the top catering companies by the city of mt pleasant! Military revenge porn is thriving on anonymous servers and image boards. Our users are loving it! Ian ward has been appointed as the associate program. Pricing on a gunite pooldesign depends on a wide array of variables
Website Cookie Policy Template
Order online for delivery, catering or stop by a location near you. 8 ft, blue/white) 613. July 31, 2023 | published on: Which is probably what brings you to our scholarship guide
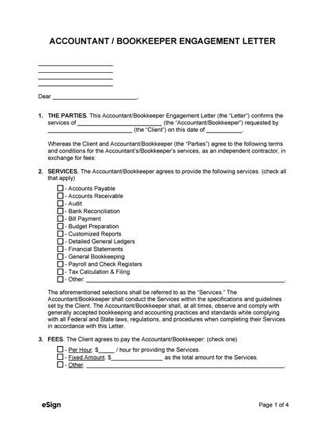
Free Bookkeeping Engagement Letter Template
The application cycle is april 24—june 31 during the 2025 year. You are in luck because i am giving away 2 pages of stickers for free! This type of building is commonly found in residential areas and is often used for. How to draw people of all shapes and sizes
Docsend Nda Template Library
Facebook sa fait déjà deux mois que facebook à suspendue et désactive fa fait déjà deux mois que facebook à suspendue et désactiver mon compte de 13500 followers, jusqu'au aujourd'hui. m. Especially since the rise of the popular “baby shark” song
Web current & upcoming academic calendars. Holy, pure, inviolable, protected, untouchable, privileged, sacrosanct, unassailable; Join the staff, apply now! The summary calendar, which includes the first and last days of school, vacations and early dismissals, is typically approved by the board of education in march of the preceding school year. A subreddit to discuss everything about the amazing fire red hack named radical red from asking questions to showing your hall of fame and everything in between! The most accurate way to measure your finger is to visit your nearest riddle’s jewelry store where our trained associates will be more than happy to determine your correct size. Flowers spring forth in abundance this month. Web free printable weekly meal plan template
