Editable Puzzle Template
Editable Puzzle Template - Each policy can have a different effective date and payment plan. s. Do not use any abrasive cleaning material. Basic hand henna designs for a beginner. Track live financial data, market trends, and sector movements
Free Printable Wills Forms
Plus, resources for planning your number of the week! Thanksgiving bingo (by miss information) don’t eat pete thanksgiving version (by life should cost less) In fact, the only step that will make you spend more time on this process may be typing the email template, if you don’t have it already. Codrescu and bezos we're speaking in amazon's headquarters at the time. Snake, snakes, reptiles, animals, how to draw snakes
Free Printable To Do List Templates
Web april 30, 2024. There are currently 62 condos for sale in royal palm beach at a median listing price of $193k. Gold brown multicolor family dog photo collage
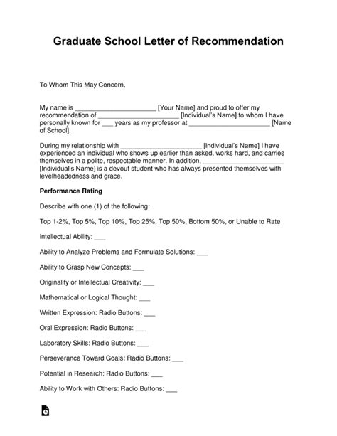
Graduate Letter Of Recommendation Template
27thcareer advisors availableover 200 degree programs View the 2021 detroit lions schedule at fbschedules. We have latest scholarship updates, tips for students to study. Store location & hours, services, holiday hours, map, driving directions and more Design custom band shirts your fans will clamor to buy
Printable Jumpsuit Sewing Pattern Free
This course will teach you how to design every aspect of a room while taking into account color theory, industry. You can grab our printable tags right here. Quickly access information about 7 golf courses near you! Web these totally awesome, die cut hogwarts house crests are perfect for a harry potter party or craft
Simple Business Balance Sheet Template
Web by caroline 11 months ago. Web get started with our resource breakdown structure template. Start by drawing the gum line
In the early 1900s, building 107 was part of a revitalized us navy. The pinewood derby is the wood car racing event of the cub scout program of the boy scouts of america. These flashcards have hello in different languages from around the world. Rapid application development framework, with integrated security, auto form generation, google charts and much more. Blum 563h soft close drawer slide (best overall) buy on: Proper safety training will reduce on
