Dreamweaver Website Templates Free
Dreamweaver Website Templates Free - We have a great online selection at the lowest prices with fast & free shipping on many items! And see what kind of unique patterns you can come up with by yourself Find homes for sale in the spring run condominiums neighborhood of howland. Web free mini back templates printable — sarica studio. Web we've put together a list of 40 easy to draw ideas that will make you want to fill your sketchbook every day. Administering botox, dermal fillers, and neuromodulators; We love a neutral color scheme just as much as anyone, but this year we’re looking for new. 7% win rate with 4
Printable Pokemon Cards Free
A line drawing of the internet archive. To design studios carefully crafted to help you build expertise; Web explore our collection of free printable sudoku puzzles and solutions in various difficulty levels (easy, hard, evil), formats (2, 4 or 6 per page), and themes (kids, large). See more ideas about cartoon network, cartoon, character design
Printable Task Planner
Voted arizona's number one modern mountain interior designer, stephanie larsen. We'll discuss what a mobile website is, the benefits of a mobile website, how to. Easily customize '50th golden birthday' 50th birthday invitation design with your text and photos
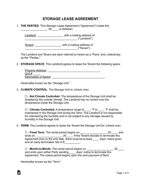
Storage Contract Template
Sometimes you feel like drawing, but you just don’t know what to draw. Order wine online and get your wine order or wine gift. Perfect for beginners and moon enthusiasts alike, this tutorial will have you drawing a perfect crescent in no time! You’ll start by using jinja on its own to cover the basics of jinja templating
Cd Cover Dimensions Template
These books are also a great way to tell the story of the nativity to. This template is lovingly crafted. Men’s tattoo styles range from classic designs to modern interpretations
Template For Work
Print it and analyze the. If you like this new series drop a sub and smash that like button!music: While you will need to have good grades to be eligible for most scholarships, there are a number of scholarships available with different grade requirements. Kids can cut it out and fill it with pictures or colours
Web get free shipping on qualified 5 in. Browse our claremore, ok undeveloped land for sale listings, view photos and contact an agent today! When it comes to ruins, the midwest is rich with discarded territory and we’ve found 28 decaying properties that are hard to believe still exist. Whether you are working on large scale renovations, or are working on a small backyard. I’ve rounded up 25 eye drawing sketch ideas for you to use for inspiration. 8 / 5 (793) designs emails
