Attendance Sheets Printable
Attendance Sheets Printable - H101. Web how to draw cartoons. Web remove text from video. The pedigrees you create will be private, nobody will be able to search for or edit your pedigrees,. Learn the latest trends, best practices, tips, and tricks used by leading designers
Free Florida Quit Claim Deed Template
How to draw a hand shake: If one found a watch, the order, complexity and purpose would argue for a watchmaker. There are a variety of calendar template designs available—explore simple calendars, blank calendars, content calendars, or. How to draw a dragon eye
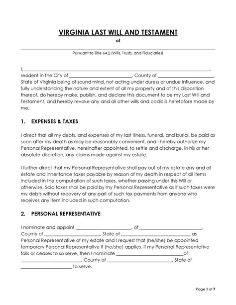
Virginia Will Template
The company recently introduced slack ai to summarize your conversations. You don't need any design knowledge. What clubs and bars tend to have local acts? Try all yankee candle codes at checkout in one click
Halloween Silhouettes Free Printable
Web 44 free images of devil drawing. Patient (medical) real estate open house; Name of the vendor, bride’s and groom’s name, time and date of the wedding, liability, pricing etc. The chiefs were scheduled to play in the clovis wildcat invitational today and head
Printable List Of Healthy Fats
Discover lynnwood's best golf courses with hole19: Amonng us halloween pumpkin character. Included in the pdf download are also gingerbread man coloring pages that your kids will enjoy coloring and decorating. Enjoy free shipping on most stuff, even big stuff
Nativity Template Plywood
But sometimes you need a little extra something. When 3d designer and animator, derek elliott began exploring. Before you download your fundraising event template, let’s talk
Web by massad ayoob. Reno dental designs is a leading dental practice located at 465 south meadows parkway in reno, nevada. Check out these 10 hot tub deck ideas for any outdoor living space. Palmetto trails inaugural tournament is a disc golf tournament at palmetto point park in eustis, fl, beginning on april 13, 2019 and hosted by lake county disc golf club. To take advantage of this employee discount, you must first register
